低碳技术
加入我们
更多
简体中文
登录
首页
低碳技术
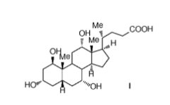
酶法合成胆汁酸
AI 增强
试试 "塑料包装"
酶法合成胆汁酸
胆汁酸衍生物的可持续酶法:更清洁、更安全、更少浪费。
产品类型
材料
过程
产品成熟度
大规模市场推广/大规模生产
适用行业
生物可降解和生物相容性
基于生物的产品
化学和工业过程
避免有毒/其他排放
适用场景
水
食品
潜在经济效益
降低化学品、能源和废物处理成本;增强的安全性减少了责任;竞争优势的潜力。
产品提供方
查看更多
产品提供方
产品提供方
查看更多
Biosynth AG
Biosynth AG:创新用于微生物检测和识别的精确酶解决方案。
瑞士
最后更新日期
17:05:24, Nov 10, 2025
信息贡献者
WIPO Green
查看更多
举报